Help ?

IGMIN: We're glad you're here. Please click 'create a new query' if you are a new visitor to our website and need further information from us.

If you are already a member of our network and need to keep track of any developments regarding a question you have already submitted, click 'take me to my Query.'

Search

Organised by  IgMin Fevicon

Regional sites

Browse by Subjects

Welcome to IgMin Research – an Open Access journal uniting Biology, Medicine, and Engineering. We’re dedicated to advancing global knowledge and fostering collaboration across scientific fields.

Browse by Sections

At IgMin Research, we bridge the frontiers of Biology, Medicine, and Engineering to foster interdisciplinary innovation. Our expanded scope now embraces a wide spectrum of scientific disciplines, empowering global researchers to explore, contribute, and collaborate through open access.

Special Issues

We aim to facilitate the cross-pollination of ideas across disciplines to boost scientific progress.

Members

We aim to facilitate the cross-pollination of ideas across disciplines to boost scientific progress.

Articles

We aim to facilitate the cross-pollination of ideas across disciplines to boost scientific progress.

Explore Content

We aim to facilitate the cross-pollination of ideas across disciplines to boost scientific progress.

Identify Us

We aim to facilitate the cross-pollination of ideas across disciplines to boost scientific progress.

IgMin Corporation

Welcome to IgMin, a leading platform dedicated to enhancing knowledge dissemination and professional growth across multiple fields of science, technology, and the humanities. We believe in the power of open access, collaboration, and innovation. Our goal is to provide individuals and organizations with the tools they need to succeed in the global knowledge economy.

Publications Support
publications.support@igmin.org
E-Books Support
ebooks.support@igmin.org
Webinars & Conferences Support
webinarsandconference@igmin.org
Content Writing Support
contentwriting.support@igmin.org

Search

Select Language

Explore Section

Content for the explore section slider goes here.

This item has received
5.2k  Visits
857  Downloads
380.6MB  Data volume
Dimensions
Scan and get link
General Science Group Review Article Article ID: igmin289

General Solutions for MHD Motions of Viscous Fluids with Viscosity Linearly Dependent on Pressure in a Planar Channel

Constantin Fetecau 1 * and
Costică Moroşanu 2
Physics

Received 27 Nov 2024 Accepted 24 Feb 2025 Published online 25 Feb 2025

Abstract

The analytical study examines the isothermal, unsteady flows of viscous incompressible fluids in a planar channel, when viscosity depends linearly on pressure, and a constant magnetic field is present. Exact expressions are derived for the dimensionless initial velocity field, the corresponding non-zero shear stress, and the problem is fully solved. To illustrate and highlight certain fluid behavior characteristics, modified Stokes’ problems are analyzed, and analytical expressions for the corresponding initial velocities are provided. For validation, the steady components are presented in two distinct forms, with their equivalence confirmed through graphical comparison. The effect of the magnetic field on the fluid behavior is explored and discussed visually. The results show that the fluid flows more slowly, and the steady-state is reached sooner when a magnetic field is applied.

2010 Mathematics Subject Classification: 76A05.

Introduction

The fact that the fluid viscosity could depend on pressure was early remarked by Stokes [1]. During the time many authors told that the fluid viscosity can be dependent on the normal stress while the density remains almost constant. Andrade [2] and Brigman [3], for instance, have studied the variations of viscosity with pressure for many fluids. In the same time experimental studies of Cutler, et al. [4], Johnson and Cameron [5], Johnson and Tevaarwerk [6], Bair and Winer [7], Bendler, et al. [8] and Casalini and Bair [9] attested the dependence of the liquids’ viscosity on the mean normal stress. Szeri [10] mentioned that the effect of the pressure on viscosity cannot be ignored in the elastohydrodynamic lubrication and in problems of processing of polymeric materials. Nowadays, the fluids with pressure dependent viscosity are usually used to describe the behavior of liquids in many situations.

In many studies regarding motions of fluids with pressure dependent viscosity the effect of the gravity on the fluid behavior has been neglected [11,12]. Kannan and Rajagopal [13] studied the motion of such a fluid and found that the gravity has a significant influence on the fluid motion and the viscosity changes with the depth. First exact steady solutions for Couette flows of fluids with pressure dependent viscosity in which the effect of gravity has been taken into consideration seem to be those of Rajagopal [14]. Some of his results have been extended to unsteady motions of same fluids by Fetecau and Bridge [15]. Other interesting solutions for unsteady flows of the fluids with pressure dependent viscosity in which the effects of gravitational acceleration have been taken in account have been established by Rajagopal, et al. [16], Prusa [17] and Fetecau, et al.

[18,19]. Exact or numerical solutions for MHD unsteady motions of incompressible Newtonian fluids with variable viscosity in a rectangular channel have been recently obtained by Yadav and Verma [20] and Verma [21], respectively.

The aim of this study is to establish exact general solutions for hydromagnetic (MHD) unsteady motions of incompressible fluids with linear dependence of viscosity on the pressure between two infinite horizontal parallel plates when the gravity effects are taken into account. The constitutive equations of these fluids are given by the relations

T=pI+2μ(p)D;μ(p)=αp,α>0 (1)

Here T is the Cauchy stress tensor, I is the unit tensor, p is the hydrostatic pressure, D is the rate of deformation tensor, µ(P) is the fluid viscosity and α is a positive constant. The dimensionless starting velocity fields, presented as sums of their steady state and transient components, are used to determine the required time to touch the steady state. This time is very important in practice for the experimental researchers. The influence of magnetic field on the fluid velocity is graphically depicted and discussed.

Governing equations

Let us suppose that an electrical conducting incompressible fluid with linear dependence of viscosity on the pressure is at rest between two infinite horizontal parallel plates. At the moment t = 0+ the inferior plate begins to slide in its plane with the time-dependent velocity Vf(t) and a magnetic field of constant strength B acts vertical to plates (Figure 1).

Flow geometry.Figure 1: Flow geometry.

Here V is a constant velocity while the function f(.) is piecewise continuous and its value in t = 0 is zero. The fluid begins to move and since both plates are infinite in extent, all physical entities depend on y and t only. We are looking on a velocity field of the form

w=w(y,t)=( u(y,t),0,0 );0<y<d,t>0 (2)

in a suitable system of Cartesian coordinate x, y and z. Here u(y,t) is the fluid velocity and d is the distance between plates. For such motions the continuity equation is verified.

We also assume that the fluid is finitely conducting, its magnetic permeability is constant, the induced magnetic field is negligible in comparison with the applied magnetic field and no electric charge distribution is present in the fluid. In these conditions the balance of linear momentum reduces to the following partial differential equations

ρ u(y,t) t = y [ μ(p) u(y,t) y ]σ B 2 u(y,t); p(y,t) y +ρg=0, (3)

in which ρ is the fluid density, σ is the electrical conductivity and g is the gravitational acceleration. Assuming that the pressure p is independent of the time t, as in previous papers [16-19], the second relation from the equalities (3) implies

p(y)=ρg(dy)+ p d , p d =p(d) (4)

Based on the equalities (1) and (4), the governing equation (3) takes the form

ρ u(y,t) t =α[ ρg(dy)+ p d ] 2 u(y,t) y 2 αρg u(y,t) y σ B 2 u(y,t);0<y<d,t>0 (5)

with the corresponding initial and boundary conditions

u(y,0)=0,0yd;u(0,t)=Vf(t),u(d,t)=0,t>0 (6)

The non-trivial shear stress τ(y,t), as it results from Eqs. (1), is given by the relation

τ(y,t)=α[ρg(dy)+ p d ] u(y,t) y ;0<y<d,t>0 (7)

Introducing the next non-dimensional variables and functions

y = 1 d y, t = αg d t, u = 1 V u, τ = 1 αρgV τ (8)

and dropping out the star notation, one attains to the initial and boundary value problem

(1y+β) 2 u(y,t) y 2 u(y,t) y Mu(y,t)= u(y,t) t ;0<y<1,t>0 (9)

u(y,0)=0,0y1;u(0,t)=f(t),u(1,t)=0,t>0 (10)

in which the magnetic parameter M and the constant β are defined by the next relations

M= σ B 2 ρ d αg = d αρg σ B 2 ,β= p d ρgd (11)

The corresponding dimensionless shear stress τ(y,t) is given by the next relation

τ(y,t)=(1y+β)] u(y,t) y ;0<y<1,t>0 (12)

General solutions

To determine the dimensionless velocity field u(y,t) that satisfies the initial and boundary value problem (9) and (10), we firstly make the change of independent variable y=1+β r 2 /4 . One attains the following partial differential equation

2 u(r,t) r 2 + 1 r u(r,t) r Mu(r,t)= u(r,t) t ;a<r<b,t>0 (13)

with the initial and boundary conditions

u(r,0)=0,arb;u(a,t)=0,u(b,t)=f(t),t>0 (14)

where a=2 β  and b=2 β+1

Now, making the change of unknown function

u(r,t)=w(r,t)+ ra ba f(t);a<r<b,t0 (15)

one attains to the next governing equation

2 w(r,t) r 2 + 1 r w(r,t) r Mw(r,t)+c(r,t)= w(r,t) t ;a<r<b,t>0 (16)

where c(r,t)= 1 ba { 1 r f(t)(ra)[ f (t)+Mf(t) ] } .

The new function w(r,) has to satisfy the initial and boundary conditions

w(r,0)=0,arb;w(a,t)=w(b,t)=0,t>0 (17)

To solve the partial differential equation (16) with the initial and boundary conditions (17), the finite Hankel transform and its inverse defined by the relations [22]

w H (n,t)= a b rw(r,t)B(r, r n )dr, w(r,t)= π 2 2 n=1 r n 2 J 0 2 (b r n )B(r, r n ) J 0 2 (a r n ) J 0 2 (b r n ) w H (n,t) , (18)

will be used. In above relations WH(n,t) is the finite Hankel transform of W(r,t), rn are the positive roots of the transcendental equation B(b,r) = 0 in which

B(r, r n )= Y 0 (a r n ) J 0 (r r n ) J 0 (a r n ) Y 0 (r r n );n=1,2,3,... (19)

And J 0 (),  Y 0 () are standard Bessel functions of the first and second kind and zero order.

Consequently, multiplying Eq. (16) by rB(r,rn), integrating the result from a to b and bearing in mind the initial and boundary conditions (17) and the known result [22]

a b rB(r, r n )[ 2 w(r,t) r 2 + 1 r w(r,t) r ]dr= 2 π [ w(b,t) J 0 (a r n ) J 0 (b r n ) w(a,t) ] r n 2 w H (n,t), (20)

one finds that WH(n,t) has to satisfy the boundary value problem

w H (n,t) t +( r n 2 +M ) w H (n,t)= d n (t), w H (n,0)=0;t>0,n=1,2,3,..., (21)

where d n (t)= ( a n M b n )f(t) b n f (t) ba and

a n = a b B(r, r n )dr, b n = a b r(ra)B(r, r n )dr. (22)

The solution of the ordinary differential equation (21) is

w H (n,t)= 0 t d n (s) e ( r n 2 +M)(ts) ds;t>0. (23)

Introducing this result in Eq. (18) and coming back to the original variable and function (see Eq. (15)), it results that the dimensionless velocity field u(y,t) is given by the relation

u(y,t)= 1y+β β 1+β β  f(t) + π 2 2 n=1 r n 2 J 0 2 (b r n )B(2 1y+β , r n ) J 0 2 (a r n ) J 0 2 (b r n ) 0 t d n (s) e ( r n 2 +M)(ts) ds, (24)

Substituting u(y,t) from Eq. (24) in (12) one finds the corresponding shear stress

τ(y,t)= 1y+β 2( 1+β β )  f(t) + π 2 1y+β 2 n=1 r n 2 J 0 2 (b r n )C(2 1y+β , r n ) J 0 2 (a r n ) J 0 2 (b r n ) 0 t d n (s) e ( r n 2 +M)(ts) ds, (25)

where the new function

C(2 1y+β , r n )= Y 0 (a r n ) J 1 (2 r n 1y+β ) J 0 (a r n ) Y 1 (2 r n 1y+β );n=1,2,3,... (26)

and J 1 (),  Y 1 () are standard Bessel functions of second kind and one order. As expected, taking M = 0 in the general relations (24) and (25) one recovers the solutions (37) and (38) obtained by Fetecau and Bridge [15].

The general expressions (24) and (25) of dimensionless velocity and shear stress fields u(y,t) and τ(y,t) allow us to say that the MHD motion problem of incompressible viscous fluids with linear dependence of viscosity on the pressure between two infinite horizontal parallel plates is completely solved when the lower plate slides in its plane. In the following, two motion problems with technical significance will be examined to illustrate and highlight the impact of the magnetic field on fluid behavior in specific scenarios. The corresponding velocity and shear stress fields will also be presented.

Modified stokes’ second problem

Substituting f(t) by H(t)cos(wt) or H(t)sin(wt) in the relations (24) and (25) on finds the dimensionless velocity and shear stress fields corresponding to the modified Stokes’ second problem [16] for electrical conducting incompressible viscous fluids with linear dependence of viscosity on the pressure. Here H(.)is the Heaviside unit step function and ω is the non-dimensional frequency of the oscillations. In the next, in order to avoid confusion, we denote by uc(y,t) and us(y,t) the dimensionless starting velocities corresponding to unsteady motions induced by cosine or sine oscillations, respectively, of the lower plate. Using the fact that the derivative of H(t) is the Dirac delta function δ(t) we can show that the two starting velocities uc(y,t) and us(y,t) can be presented as sum of their steady state (permanent or long time) and transient components, namely

u c (y,t)=[ u cp (y,t)+ u ct (y,t)]H(t), u s (y,t)=[ u sp (y,t)+ u st (y,t)]H(t);0<y<1,t>0 (27)

in which

u cp (y,t)= 1y+β β 1+β β cos(ωt)+ π 2 2(ba) n=1 r n 2 J 0 2 (b r n )B(2 1y+β , r n ) J 0 2 (a r n ) J 0 2 (b r n ) ×{ ( a n b n M)( r n 2 +M) b n ω 2 ( r n 2 +M) 2 + ω 2 cos(ωt)+ a n + b n r n 2 ( r n 2 +M) 2 + ω 2 ωsin(ωt) }, (28)

u ct (y,t)= π 2 2(ba) n=1 r n 2 J 0 2 (b r n )B(2 1y+β , r n ) J 0 2 (a r n ) J 0 2 (b r n ) ( a n + b n r n 2 )( r n 2 +M) ( r n 2 +M) 2 + ω 2 e ( r n 2 +M)t , (29)

u sp (y,t)= 1y+β β 1+β β sin(ωt)+ π 2 2(ba) n=1 r n 2 J 0 2 (b r n )B(2 1y+β , r n ) J 0 2 (a r n ) J 0 2 (b r n ) ×{ a n + b n r n 2 ( r n 2 +M) 2 + ω 2 ωcos(ωt)+  ( a n b n M)( r n 2 +M) b n ω 2 ( r n 2 +M) 2 + ω 2 sin(ωt) }, (30)

u st (y,t)= ω π 2 2(ba) n=1 r n 2 J 0 2 (b r n )B(2 1y+β , r n ) J 0 2 (a r n ) J 0 2 (b r n ) a n b n M+ b n ( r n 2 +M) ( r n 2 +M) 2 + ω 2 e ( r n 2 +M)t . (31)

The expressions of the corresponding shear stresses, namely

τ cp (y,t)= 1y+β 2 1+β β cos(ωt)+ π 2 1y+β 2(ba) n=1 r n 3 J 0 2 (b r n )C(2 1y+β , r n ) J 0 2 (a r n ) J 0 2 (b r n ) ×{ ( a n b n M)( r n 2 +M) b n ω 2 ( r n 2 +M) 2 + ω 2 cos(ωt)+ a n + b n r n 2 ( r n 2 +M) 2 + ω 2 ωsin(ωt) }, (32)

τ ct (y,t)= π 2 1y+β 2(ba) n=1 r n 3 J 0 2 (b r n )C(2 1y+β , r n ) J 0 2 (a r n ) J 0 2 (b r n ) ( a n + b n r n 2 )( r n 2 +M) ( r n 2 +M) 2 + ω 2 e ( r n 2 +M)t , (33)

τ sp (y,t)= 1y+β 2 1+β β sin(ωt)+ π 2 1y+β 2(ba) n=1 r n 3 J 0 2 (b r n )C(2 1y+β , r n ) J 0 2 (a r n ) J 0 2 (b r n ) ×{ a n + b n r n 2 ( r n 2 +M) 2 + ω 2 ωcos(ωt)+  ( a n b n M)( r n 2 +M) b n ω 2 ( r n 2 +M) 2 + ω 2 sin(ωt) }, (34)

τ st (y,t)= ω π 2 1y+β 2(ba) × n=1 r n 3 J 0 2 (b r n )C(2 1y+β , r n ) J 0 2 (a r n ) J 0 2 (b r n ) a n b n M+ b n ( r n 2 +M) ( r n 2 +M) 2 + ω 2 e ( r n 2 +M)t , (35)

have been obtained using the relations (12) and (28)-(31).

Finally, following the same way as Fetecau and Morosanu [23], it is not difficult to show that the dimensionless steady state velocities ucp(y,t) and usp(y,t) can be also written in equivalent forms, namely

u cp (y,t)=Re{ K 0 (a iω+M ) I 0 (r iω+M ) I 0 (a iω+M ) K 0 (r iω+M ) K 0 (a iω+M ) I 0 (b iω+M ) I 0 (a iω+M ) K 0 (b iω+M ) e iωt }, (36)

u sp (y,t)=Im{ K 0 (a iω+M ) I 0 (r iω+M ) I 0 (a iω+M ) K 0 (r iω+M ) K 0 (a iω+M ) I 0 (b iω+M ) I 0 (a iω+M ) K 0 (b iω+M ) e iωt }, (37)

in which r=2 1y+β . Figure 2 shows the equivalence of the expressions of ucp(y,t) and usp(y,t) given by the relations (28), (36) and (30), (37), respectively. It is known the fact that steady state solutions are independent of the initial conditions but they satisfy the governing equation and boundary conditions. These solutions are very important for the experimental researchers who want to know the transition moment to the steady state.

Equivalence of the expressions of <em>u<sub>cp</sub>(y,t)</em> and <em>u<sub>sp</sub>(y,t)</em> given by relations (28), (36) and (30), (37) for <em>β</em> = 0.5, <em>M</em> = 0.7, <em>ω</em> = /3 and three values of the time <em>t</em>.Figure 2: Equivalence of the expressions of ucp(y,t) and usp(y,t) given by relations (28), (36) and (30), (37) for β = 0.5, M = 0.7, ω = /3 and three values of the time t.
Modified stokes’ first problem

Replacing f(t) by H(t) in Eqs. (24) and (25) one finds the dimensionless starting velocity and shear stress fields uc(y,t) and τc(y,t) corresponding to the MHD motion of fluids with linear dependence of viscosity on the pressure induced by the lower plate that slides in its plane with the constant velocity V. They can be also written as sum of their steady and transient components, namely

u C (y,t)=[ u Cp (y)+ u Ct (y,t)]H(t), τ C (y,t)=[ τ Cp (y)+ τ Ct (y,t)]H(t);0<r<1,t>0. (38)

The steady and transient components ucp(y) and uct(y,t) of uc(y,t), which are identical to those obtained by Fetecau and Morosanu [23], have the following expressions

u Cp (y)= 1y+β β 1+β β + π 2 2(ba) n=1 r n 2 J 0 2 (b r n )B(2 1y+β , r n ) J 0 2 (a r n ) J 0 2 (b r n ) a n b n M r n 2 +M , (39)

u Ct (y,t)= π 2 2(ba) n=1 r n 2 J 0 2 (b r n )B(2 1y+β , r n ) J 0 2 (a r n ) J 0 2 (b r n ) b n r n 2 + a n r n 2 +M e ( r n 2 +M)t . (40)

These velocity fields, as expected, can be also obtained taking ω = 0 in the equalities (28) and (29). An equivalent form for the dimensionless steady velocity ucp(y), namely

u Cp (y)= K 0 (2 βM ) I 0 (2 (1y+β)M ) I 0 (2 βM ) K 0 (2 (1y+β)M ) K 0 (2 βM ) I 0 (2 (1+β)M ) I 0 (2 βM ) K 0 (2 (1+β)M ) ;M0, (41)

has been obtained putting ω = 0 in the relation (36).

The dimensionless steady and transient shear stresses τcp(y,t) and τct(y,t) of this motion are given by the relations (25) and (26) of the reference [23]. An equivalent form for the steady component τc(y) of c is given by the relation

τ Cp (y)= 1y+β K 0 (2 βM ) I 1 (2 (1y+β)M ) I 0 (2 βM ) K 1 (2 (1y+β)M ) K 0 (2 βM ) I 0 (2 (1+β)M ) I 0 (2 βM ) K 0 (2 (1+β)M ) . (42)

Some numerical results and conclusions

This study analytically examines the isothermal unsteady motion of the electrically conducting, incompressible fluids under the influence of a magnetic field. Closed-form expressions were determined both for the dimensionless fluid velocity u(y,t) and the corresponding non-trivial shear stress τ(y,t). The derived general expressions enable the generation of exact solutions for any motion of this type in the respective fluids. To demonstrate their applicability, specific cases were analyzed, and the corresponding solutions were provided. The steady-state components of the initial velocities were presented in various forms, with their equivalence verified through graphical analysis. Additionally, graphical representations are included to determine the time required to reach the steady state and to highlight distinct characteristics of the fluid's behavior.

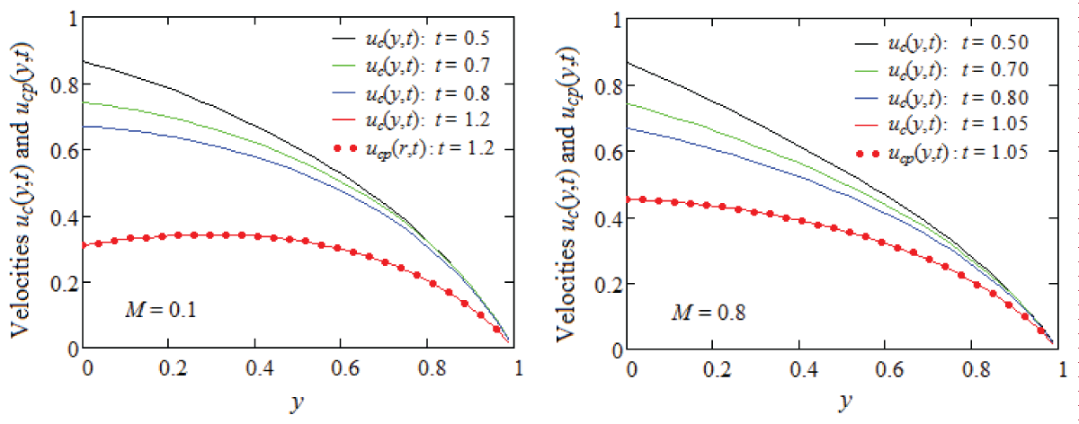
Figures 3-5 show the convergence of dimensionless starting velocities uc(y,t), us(y,t) and uc(y,t) to their steady state or steady components ucp(y,t), usp(y,t) and ucp(y), respectively, at fixed values for β and ω, different values of the magnetic parameter M and increasing values of the time t. Actually, these figures give us the necessary time (with a small error, less than 10-4) to get the steady state. In all cases this time declines for increasing values of the magnetic parameter M. Consequently, the steady state for such motions of the fluids in discussion is rather obtained in the presence of magnetic field.

Convergence of starting velocity <em>u<sub>c</sub>(y,t)</em> from Eq. (27)1 to its steady state component <em>usub>cp</sub>(y,t)</em> for <em>β</em> = 0.2, <em>ω</em> = Π/3, two values of <em>M</em> and increasing values of time <em>t</em>.Figure 3: Convergence of starting velocity uc(y,t) from Eq. (27)1 to its steady state component usub>cp(y,t) for β = 0.2, ω = Π/3, two values of M and increasing values of time t.
Convergence of starting velocity <em>usub>s</sub>(y,t)</em> from Eq. (27)2 to its steady state component <em>usub>sp</sub>(y,t)</em> for <em>β</em> = 0.2, <em>ω</em> = Π/3, two values of <em>M</em> and increasing values of time <em>t</em>.Figure 4: Convergence of starting velocity usub>s(y,t) from Eq. (27)2 to its steady state component usub>sp(y,t) for β = 0.2, ω = Π/3, two values of M and increasing values of time t.
Convergence of starting velocity <em>u<sub>c</sub>(y,t)</em> from Eq. (38) 1 to its steady component <em>u<sub>cp</sub>(y)</em> for β = 0.2,  = /3, two values of M and increasing values of time <em>t</em>.Figure 5: Convergence of starting velocity uc(y,t) from Eq. (38) 1 to its steady component ucp(y) for β = 0.2,  = /3, two values of M and increasing values of time t.

In addition, as it results from Figures 2 and 3, the required time to reach the steady state for motions due to sine oscillations of the plate is smaller than that for motions induced by cosine oscillations of the plate. This is possible since at the moment t = 0 the velocity of the plate is zero. Figure 5 also shows that, as expected, the fluid velocity grows up for increasing values of the time t and the boundary conditions are clearly satisfied. A careful examination also shows that the fluid velocity diminishes for increasing values of the magnetic parameter M. However, for confirmation, the numerical values of the dimensionless starting velocity uc(y,t) for the same times and M = 0.1 and 0.8 are given in Table 1. It means that the fluid flows slower in the presence of a magnetic field.

Table 1: Values of the velocity uC(y,t) for increasing values of the magnetic parameter M.
  uC(y,t)
  M = 0.1 M = 0.8
y t = 0.1 t = 0.2 t = 0.3 t = 0.1 t = 0.2 t = 0.3
0.00 1.000 1.000 1.000 1.000 1.000 1.000
0.05 0.927 0.952 0.962 0.922 0.944 0.953
0.10 0.853 0.901 0.923 0.844 0.888 0.906
0.15 0.777 0.850 0.882 0.765 0.831 0.858
0.20 0.700 0.797 0.840 0.686 0.774 0.811
0.25 0.624 0.743 0.797 0.609 0.718 0.763
0.30 0.549 0.689 0.753 0.534 0.661 0.715
0.35 0.477 0.634 0.708 0.462 0.605 0.667
0.40 0.407 0.579 0.662 0.394 0.549 0.619
0.45 0.342 0.525 0.615 0.330 0.495 0.571
0.50 0.282 0.471 0.567 0.271 0.442 0.523
0.55 0.228 0.418 0.519 0.218 0.390 0.475
0.60 0.180 0.366 0.470 0.172 0.340 0.428
0.65 0.138 0.316 0.420 0.132 0.292 0.380
0.70 0.102 0.268 0.370 0.098 0.247 0.332
0.75 0.073 0.222 0.318 0.070 0.203 0.284
0.80 0.050 0.177 0.264 0.048 0.162 0.235
0.85 0.032 0.135 0.208 0.031 0.123 0.185
0.90 0.019 0.093 0.148 0.018 0.084 0.131
0.95 0.009 0.049 0.080 0.008 0.045 0.071
1.00 0.000 0.000 0.000 0.000 0.000 0.000

The key findings derived from this study are:

− The problem of magnetohydrodynamic (MHD) motion of electrically conducting, incompressible fluids, with viscosity linearly dependent on pressure, between two infinite parallel horizontal plates was fully solved when the lower plate moves within its plane.

− Exact general expressions were derived for the dimensionless velocity field and the corresponding non-zero shear stress, taking gravity effects into account.

− To illustrate, modified Stokes' problems were analyzed, and the resulting velocity fields were used to determine the time required to reach steady state, as well as to highlight key characteristics of the fluid motion.

− Graphical results demonstrated that, in the presence of a magnetic field, the steady state is reached more quickly, and the fluid flows more slowly.

− Finally, we mention the fact that the present study or at least Stokes’ problems can be extended to MHD unsteady motions of the incompressible viscous or Maxwell fluids whose viscosity depends exponential or power-law on the pressure.

About the Article

Check for updates
Cite this Article

Fetecau C, Moroşanu C. General Solutions for MHD Motions of Viscous Fluids with Viscosity Linearly Dependent on Pressure in a Planar Channel. IgMin Res. February 25, 2025; 3(2): 104-112. IgMin ID: igmin289; DOI:10.61927/igmin289; Available at: igmin.link/p289

27 Nov, 2024
Received
24 Feb, 2025
Accepted
25 Feb, 2025
Published
Share this Article

Anyone you share the following link with will be able to read this content:

Topics
Physics

Experience Content

Views Downloads
IgMin Research 5155 857
Dimensions

Licensing

Similar Articles

Peritoneal Carcinomatosis from Ovarian Cancer: A Case Report
Andrea González De Godos, Enrique Asensio Diaz, Pilar Pinto Fuentes, Baltasar Pérez Saborido and David Pacheco Sánchez
DOI10.61927/igmin181
Detection of Adenoviruses and Astroviruses in Patients and Marine Animals in the Republic of Guinea
Andre Saa TogbodounoRoland Tenkiano, Emmanuel Saa Millimono, Rene Tamba Tolno, Jacqueline Sia Mara, Ramatoulaye Balde, Lansana II Soumah, Moussa Kolie, Laurent Gbago Onivogui, Sanaba Boumbaly, Boubacar Sidy Sily Bah and Mohamed Sahar Traore
DOI10.61927/igmin328